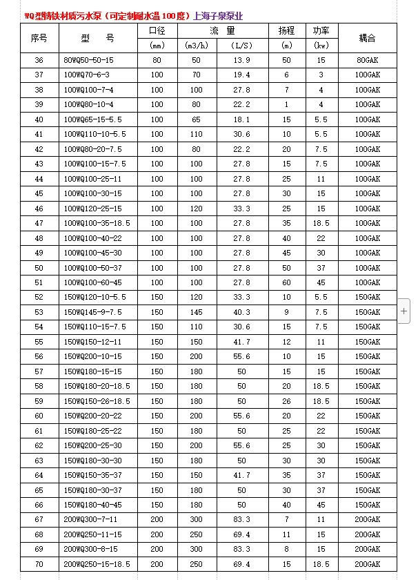
一、WQ型潜污泵产品概述
WQ型潜污泵为固定式安装潜水排污系列泵,是一款潜入水下工作,专门抽污水、污物的潜水泵,是目前国内较先进与理想的排水机具。该泵采用旋流式的下吸结构,具有不怕堵塞,耐磨损、运行可靠、维修方便、排水彻底,适用范围广泛等突出优点。
水泵本身法兰出口,国标6KG压力,可配套弯头、法兰、耦合实现安装。
二、WQ型潜污泵产品用途
潜污泵广泛适用于抽送排放工业与生活废水、污水,包括含有纸浆、木屑、淀粉、泥砂、碎石、短纤维等杂质,尿粪等,是工业、农业、城市、建筑行业理想的给排污水工具。
三、 WQ型潜污泵产品用途
QW型移动式潜水泵自带弯头直接安装软管或水带实现移动式,而去掉弯头就是国标6公斤压力的法兰口就变成固定式安装,子泉公司为了更好的细分采用WQ表示固定式,QW表示移动式。